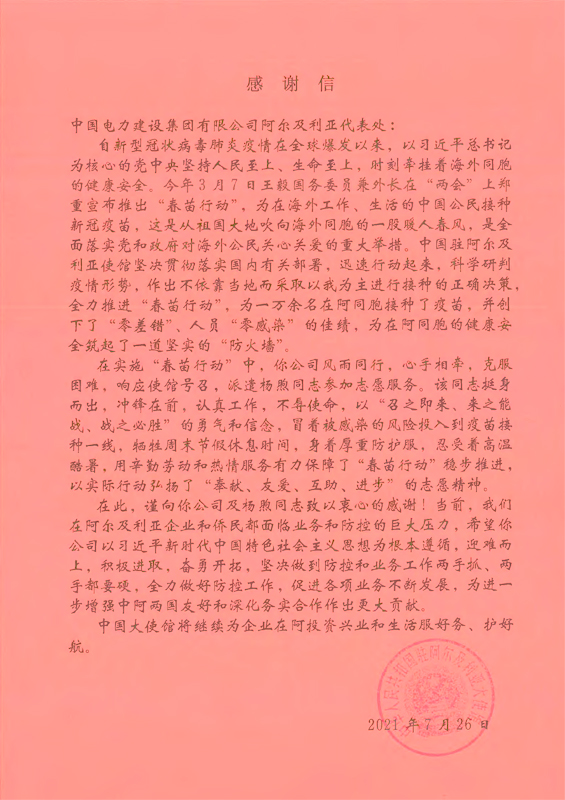
中國電建助力阿爾及利亞“春苗行動”受大使館表揚
當地時間7月24日,阿爾及利亞“春苗行動”歷經75天圓滿結束,在阿中國公民順利接種了來自國內的新冠肺炎疫苗,為海外同胞的身體健康筑起了防護屏障。中國電建阿爾及利亞代表處積極響應駐阿使館及醫療隊的要求,派出志愿者勇擔重任,冒著酷暑和感染風險,跟隨接種組轉戰各接種點。
阿爾及利亞“春苗行動”覆蓋阿爾及利亞阿爾及爾省、安納巴省和奧蘭省共4個接種點,累計接種2萬余人次,涵蓋各中資企業職工、勞務派遣分包隊伍以及華商機構和個人,疫苗接種率達99%以上,做到了應接盡接。
在配合此次在阿“春苗行動”的同時,中國電建嚴格按照國資委和集團總部的各項防疫要求,嚴防嚴控,在阿3個機構和11個項目部沒有出現1例確診病例,保持了“零感染”記錄,符合接種條件的355名正式員工和勞務隊伍也全部完成了疫苗接種。
此次“春苗行動”圓滿結束后,阿爾及利亞代表處收到了中國駐阿爾及利亞大使館感謝信,使館對中國電建在阿爾及利亞“春苗行動”期間的配合和支持表示感謝,對派出的楊煦同志提出表揚。中國電建阿爾及利亞代表處將更嚴格地遵循國資委及集團部署的各項防疫要求,堅決做到防疫和工作兩手抓,強化防護意識,嚴格遵守防疫規定,萬眾一心,取得抗疫穩產的最終勝利。







京公網安備 11010802025224號